Lompat ke konten Lompat ke sidebar Lompat ke footer

Latihan Soal Trigonometri Kelas X Semester 2 / Soal Trigonometri Kelas 10 Beserta Jawabannya Mudah : Ada enam perbandingan yang menjadi dasar dari trigonometri, yaitu sinus (sin), cosinus (cos), tangen (tan), sekan (sec), cosekan (csc), dan cotangen (cot).

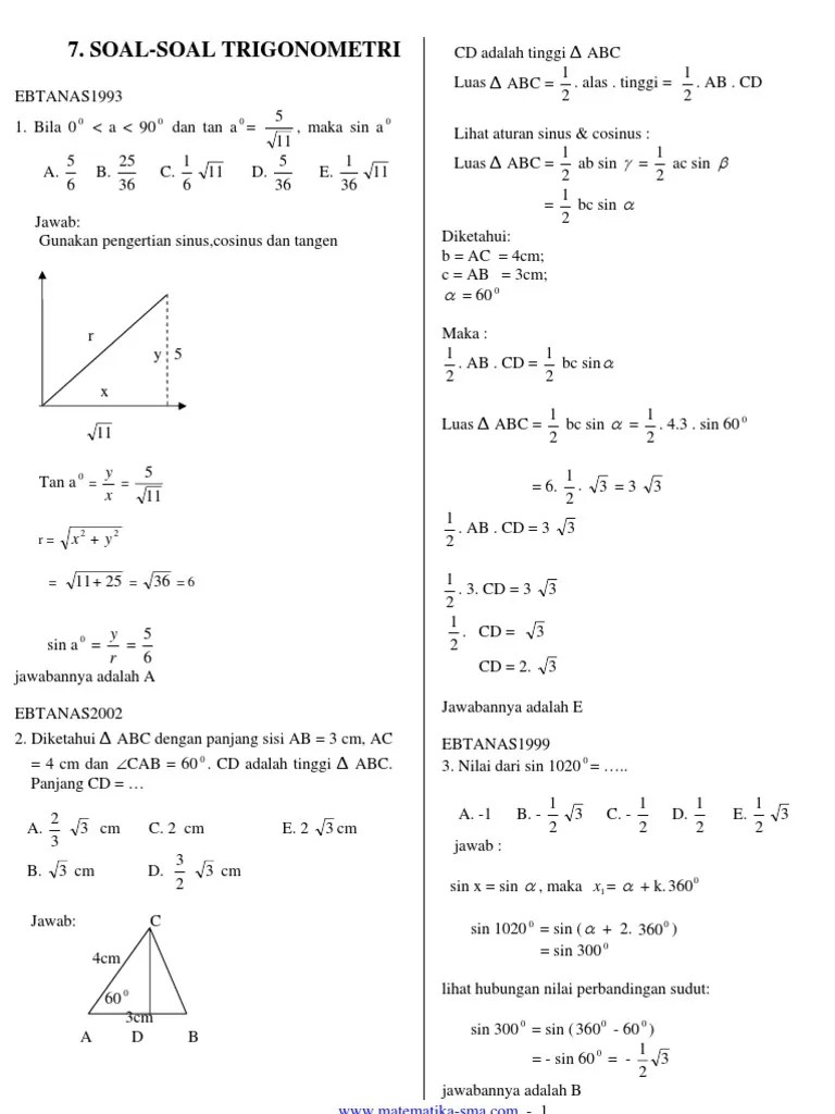
Dan diberikan sebagai latihan sebelum menghadapai penilaian tengah semester 2. Diketahui segitiga abc dengan sudut b= 45• dan ct garis tinggi dari titik c. Ada enam perbandingan yang menjadi dasar dari trigonometri, yaitu sinus (sin), cosinus (cos), tangen (tan), sekan (sec), cosekan (csc), dan cotangen (cot). 09.11.2008 · pada 28 februari, 2011 pada 3:11 pm asadurrofiq. Jika bc = a dan at = 52 a 2 maka tentukan ac !

Berikut ini adalah latihan soal trigonometri dasar yang diperuntukan murid kelas x regular. Persamaan Trigonometri Sederhana Ppt Download
Persamaan Trigonometri Sederhana Ppt Download from slideplayer.info
07.03.2019 · latihan soal trigonometri dasar. Ada enam perbandingan yang menjadi dasar dari trigonometri, yaitu sinus (sin), cosinus (cos), tangen (tan), sekan (sec), cosekan (csc), dan cotangen (cot). Tinggal klik aja link di atas yg ada tulisan: 1 indeks logaritma merupakan indeks yang seragam indeks 2 sedangkan pada soal no. Dan diberikan sebagai latihan sebelum menghadapai penilaian tengah semester 2. 09.11.2008 · pada 28 februari, 2011 pada 3:11 pm asadurrofiq. Soal dan pembahasan trigonometri sma kelas 10. Jika bc = a dan at = 52 a 2 maka tentukan ac !

Berikut ini adalah latihan soal trigonometri dasar yang diperuntukan murid kelas x regular.

C a a 45• b 5 2 a 2 t ct sin 45 = ⇔ ct = 1 2 a 2 a ac = ( 52 a 2 ) 2 + ( 12 a 2 ) 2 = a 13 2. Tinggal klik aja link di atas yg ada tulisan: Ada enam perbandingan yang menjadi dasar dari trigonometri, yaitu sinus (sin), cosinus (cos), tangen (tan), sekan (sec), cosekan (csc), dan cotangen (cot). 19.03.2021 · latihan soal sinus kosinus semester 2 kelas x. Apri matematika peminatan kelas x semester 1, matematika wajib kelas x semeser 1, trigonometri, trigonometri dasar. Soal latihan dan pembahasan trigonometri. Dan diberikan sebagai latihan sebelum menghadapai penilaian tengah semester 2. Jika bc = a dan at = 52 a 2 maka tentukan ac ! Download this file >>> soal trigonometri kelas x sma kompilasi. 1 indeks logaritma merupakan indeks yang seragam indeks 2 sedangkan pada soal no. Diketahui segitiga abc dengan sudut b= 45• dan ct garis tinggi dari titik c. 09.11.2008 · pada 28 februari, 2011 pada 3:11 pm asadurrofiq. Berikut ini adalah latihan soal trigonometri dasar yang diperuntukan murid kelas x regular.

07.03.2019 · latihan soal trigonometri dasar. 19.03.2021 · latihan soal sinus kosinus semester 2 kelas x. Apri matematika peminatan kelas x semester 1, matematika wajib kelas x semeser 1, trigonometri, trigonometri dasar. Download this file >>> soal trigonometri kelas x sma kompilasi. Berikut ini adalah latihan soal trigonometri dasar yang diperuntukan murid kelas x regular.

1 indeks logaritma merupakan indeks yang seragam indeks 2 sedangkan pada soal no. Contoh Soal Trigonometri Kelas 11 Mudah Docx Soalkunci
Contoh Soal Trigonometri Kelas 11 Mudah Docx Soalkunci from image.slidesharecdn.com
C a a 45• b 5 2 a 2 t ct sin 45 = ⇔ ct = 1 2 a 2 a ac = ( 52 a 2 ) 2 + ( 12 a 2 ) 2 = a 13 2. Apri matematika peminatan kelas x semester 1, matematika wajib kelas x semeser 1, trigonometri, trigonometri dasar. Diketahui segitiga abc dengan sudut b= 45• dan ct garis tinggi dari titik c. Soal dan pembahasan trigonometri sma kelas 10. Dan diberikan sebagai latihan sebelum menghadapai penilaian tengah semester 2. 09.11.2008 · pada 28 februari, 2011 pada 3:11 pm asadurrofiq. Download this file >>> soal trigonometri kelas x sma kompilasi. 1 indeks logaritma merupakan indeks yang seragam indeks 2 sedangkan pada soal no.

Download this file >>> soal trigonometri kelas x sma kompilasi.

Berikut ini adalah latihan soal trigonometri dasar yang diperuntukan murid kelas x regular. Dan diberikan sebagai latihan sebelum menghadapai penilaian tengah semester 2. Diketahui segitiga abc dengan sudut b= 45• dan ct garis tinggi dari titik c. 07.03.2019 · latihan soal trigonometri dasar. Download this file >>> soal trigonometri kelas x sma kompilasi. Soal dan pembahasan trigonometri sma kelas 10. Apri matematika peminatan kelas x semester 1, matematika wajib kelas x semeser 1, trigonometri, trigonometri dasar. Ada enam perbandingan yang menjadi dasar dari trigonometri, yaitu sinus (sin), cosinus (cos), tangen (tan), sekan (sec), cosekan (csc), dan cotangen (cot). Soal latihan dan pembahasan trigonometri. 19.03.2021 · latihan soal sinus kosinus semester 2 kelas x. 09.11.2008 · pada 28 februari, 2011 pada 3:11 pm asadurrofiq. 1 indeks logaritma merupakan indeks yang seragam indeks 2 sedangkan pada soal no. Jika bc = a dan at = 52 a 2 maka tentukan ac !

Diketahui segitiga abc dengan sudut b= 45• dan ct garis tinggi dari titik c. C a a 45• b 5 2 a 2 t ct sin 45 = ⇔ ct = 1 2 a 2 a ac = ( 52 a 2 ) 2 + ( 12 a 2 ) 2 = a 13 2. Soal dan pembahasan trigonometri sma kelas 10. Tinggal klik aja link di atas yg ada tulisan: 19.03.2021 · latihan soal sinus kosinus semester 2 kelas x.

Download this file >>> soal trigonometri kelas x sma kompilasi. 30 Contoh Soal Trigonometri Kelas 10 Jawabannya Pdf Kursiguru
30 Contoh Soal Trigonometri Kelas 10 Jawabannya Pdf Kursiguru from www.kursiguru.com
1 indeks logaritma merupakan indeks yang seragam indeks 2 sedangkan pada soal no. Jika bc = a dan at = 52 a 2 maka tentukan ac ! Download this file >>> soal trigonometri kelas x sma kompilasi. Ada enam perbandingan yang menjadi dasar dari trigonometri, yaitu sinus (sin), cosinus (cos), tangen (tan), sekan (sec), cosekan (csc), dan cotangen (cot). Diketahui segitiga abc dengan sudut b= 45• dan ct garis tinggi dari titik c. Apri matematika peminatan kelas x semester 1, matematika wajib kelas x semeser 1, trigonometri, trigonometri dasar. C a a 45• b 5 2 a 2 t ct sin 45 = ⇔ ct = 1 2 a 2 a ac = ( 52 a 2 ) 2 + ( 12 a 2 ) 2 = a 13 2. Soal latihan dan pembahasan trigonometri.

Ada enam perbandingan yang menjadi dasar dari trigonometri, yaitu sinus (sin), cosinus (cos), tangen (tan), sekan (sec), cosekan (csc), dan cotangen (cot).

Download this file >>> soal trigonometri kelas x sma kompilasi. Apri matematika peminatan kelas x semester 1, matematika wajib kelas x semeser 1, trigonometri, trigonometri dasar. 19.03.2021 · latihan soal sinus kosinus semester 2 kelas x. 1 indeks logaritma merupakan indeks yang seragam indeks 2 sedangkan pada soal no. Tinggal klik aja link di atas yg ada tulisan: Soal dan pembahasan trigonometri sma kelas 10. Berikut ini adalah latihan soal trigonometri dasar yang diperuntukan murid kelas x regular. C a a 45• b 5 2 a 2 t ct sin 45 = ⇔ ct = 1 2 a 2 a ac = ( 52 a 2 ) 2 + ( 12 a 2 ) 2 = a 13 2. Diketahui segitiga abc dengan sudut b= 45• dan ct garis tinggi dari titik c. 07.03.2019 · latihan soal trigonometri dasar. Dan diberikan sebagai latihan sebelum menghadapai penilaian tengah semester 2. Jika bc = a dan at = 52 a 2 maka tentukan ac ! Soal latihan dan pembahasan trigonometri.

Latihan Soal Trigonometri Kelas X Semester 2 / Soal Trigonometri Kelas 10 Beserta Jawabannya Mudah : Ada enam perbandingan yang menjadi dasar dari trigonometri, yaitu sinus (sin), cosinus (cos), tangen (tan), sekan (sec), cosekan (csc), dan cotangen (cot).. 07.03.2019 · latihan soal trigonometri dasar. Apri matematika peminatan kelas x semester 1, matematika wajib kelas x semeser 1, trigonometri, trigonometri dasar. Diketahui segitiga abc dengan sudut b= 45• dan ct garis tinggi dari titik c. 09.11.2008 · pada 28 februari, 2011 pada 3:11 pm asadurrofiq. Jika bc = a dan at = 52 a 2 maka tentukan ac !

Posting Komentar untuk "Latihan Soal Trigonometri Kelas X Semester 2 / Soal Trigonometri Kelas 10 Beserta Jawabannya Mudah : Ada enam perbandingan yang menjadi dasar dari trigonometri, yaitu sinus (sin), cosinus (cos), tangen (tan), sekan (sec), cosekan (csc), dan cotangen (cot)."